
In a significant development for the global dairy market, prices at today's Global Dairy Trade (GDT) auction showed a notable increase, marking a positive shift after an extended period of decline. Th...Read More

Last month, the Public Health Agency of Canada issued a warning to the public, and recalled along with advising against the consumption of certain non-dairy milk products—specifically almond, oa...Read More

Contracting out heifer rearing offers many benefits once both parties take time to draw up a tailor-made agreement that covers all the potential scenarios that can arise, Collaborative Farming Special...Read More

Los Angeles-based Califia Farms has expanded its out-of-home portfolio of products and services with the acquisition of Uproot Inc. Founded in 2019, Uproot Inc. launched its self-serve dairy alter...Read More

Idaho Dairy Farmers On a scorching July day, cattle farmers Jesus Hurtado and Dirk Rietsma welcomed international visitors to their soon-to-open dairy processing plant, Suntado, in Idaho’s Magic V...Read More

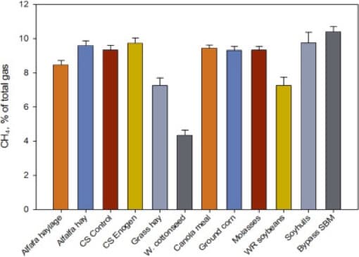
Methane - Green House Gas Methane, primarily from enteric fermentation and manure management, is the most significant greenhouse gas produced by ruminant livestock. Reducing methane emissions from...Read More

Dairy companies are shifting their focus in China from babies to adults, as a falling birth rate and intense competition force them to search for new areas of growth in what has long been one of the w...Read More

Delton and Bridgett Good, who own and operate Meadowview Jerseys, both hail from conventional dairy backgrounds. After they tied the knot in 2019, they decided to venture into the family business in a...Read More

A team of food scientists at West Pomeranian University of Technology, in Poland, has found that using horse (mare) milk instead of cow milk to make ice cream is a viable food choice. In their study,...Read More

According to latest estimates, global milk production across the key producing regions is expected to remain stable with a small decline of 0.1% year-on-year. This is slightly lower than the 0.1% incr...Read More

World's most expensive livestock diseases What is the world’s most expensive dairy disease? And what countries are hit hardest by these costs? Dr. Philip Rasmussen, researcher from the University of...Read More

Global Dairy Trade Event 361 concluded with the GDT Price Index up 0.5% Key Results of major commodities Global dairy trade index has shown slight recovery . Lactose, and Mozzarella cheese led the upw...Read More